Схема обнаружения T8200PRO-G для умных этикеток

Dec 19, 2022

Что такое T8200Pro-G

T8200PRO-G - это прибор для обнаружения узкополосных радиочастот, подходящий для резонансной частоты 10 кГц-100 МГц, определения коэффициента добротности и затухания энергии, а также для идентификации UID микросхемы. Очень подходит для тестирования радиочастотной производительности LF/HF смарт-карт, RFID-меток и индуктивных компонентов, точно отражая, как нестабильные процессы, такие как изменения размера обмотки, утоньшение встроенного провода, материал, форма, положение и расстояние и т. д., влияют на радиочастотную производительность или их мониторинг соответствия радиочастотной производительности.

· Он отражает результаты измерения вариатов с чрезвычайно высокой чувствительностью, достигающей уровня лабораторного тестирования. Это инструмент доказательства и кирпич для японского рынка. Мощность радиочастоты, полоса пропускания регулируются для имитации различных тестовых сред/вариатов для расчета коэффициента Q и оценки качества.

· В то же время учитывается адаптивность операции. Компактный размер, интуитивный интерфейс, питание 5VDC, легко переносимый, будь то в компании или за ее пределами, будь то отдельное устройство или встроенный в другие машины, он проявляет хорошую производительность.

· У него есть различные методы обработки данных и возможность автоматической генерации журналов и отчетов, а также вывод сигналов для связи с ПЛК в реальном времени, чтобы осуществить онлайн-детекцию. В целом, T8200Pro-G наследует преимущества высокоточных приборов, а также соответствует требованиям массовых клиентов к гибкому, удобному и своевременному тестированию.

Особенности

· T8200Pro-G состоит из хоста, тестовых зондов, тестового программного обеспечения и взаимосвязанных RF-кабелей. Продукт чрезвычайно прост, максимально упрощая избыточные компоненты и отображая ядро устройства. Программное обеспечение можно загрузить для работы с помощью ПК под управлением ОС Win.

· Его тестовый интерфейс отображает интуитивные, четкие и полные результаты тестов в различных формах.

· Он сочетается с различными тестовыми зондами (опциями) в зависимости от формы антенны продукта.

Значимость обнаружения

· В контроле качества радиочастотной идентификации люди часто игнорируют важные конструктивные показатели RFID-меток - резонансную частоту и усиление антенны, и привычно вводят транспондеры в процесс производства продукции RFID, что приводит к ложному обнаружению и ошибочному суждению, и не гарантирует качество продукции. T8200Pro-G специально настроен для такого тестирования производительности продукта, чтобы обеспечить согласованность продукта и оценить дизайн.

· 4 Индикатора

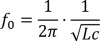
Резонансная частота RF: В параллельной или последовательной цепи, состоящей из индуктивности L-конденсатора C, у каждого из них есть способность запасать магнитное поле и электрическое поле, а также обладать определенной начальной энергией, эта энергия будет преобразовываться туда и обратно между магнитным полем и электрическим полем для формирования периодических характеристик зарядки/разрядки, частота этого цикла называется 'резонансной частотой'. Это естественная частота LC-цепи. Когда частота получения внешней энергии равна резонансной частоте, параллельная или последовательная цепь LC может получить максимальное напряжение и минимальный ток.

Затухание/Усиление: Индекс затухания, отображаемый на этом приборе, указывает на потерю восстановления после передачи питания испытательной платы. Для антенны под испытанием его можно понимать косвенно как усиление, которое относится к коэффициенту усиления передачи испытательной платы, полученному испытуемой антенной. имеют сильную обратную корреляцию. Чем больше амплитуда, тем сильнее энергия, полученная антенной под испытанием, и тем больше значение усиления. Обычно пиковое значение значения мощности можно обнаружить в точке резонансной частоты. Для получения более подробной информации обратитесь к теории 'рассеивающего параметра'.

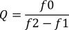
Коэффициент Q: это важный параметр для измерения качества резонансного контура или катушки. Это отношение и не имеет единиц измерения. Обычно его получают с помощью простых методов расчета. Коэффициент Q зависит от конструктивных факторов, и целесообразно выбирать стабильный уровень, не принимая за основу принцип "чем больше, тем лучше".

· Три Связи:

1) Индекс значения ослабления является основой для передачи информации RFID-меткой и также необходимым условием для определения ее квалификации. Независимо от того, какова резонансная частота метки, если у нее достаточно энергии для связи с считывателем, она может ответить.

2) Индекс резонансной частоты - оптимальная точка сцепления, когда RFID-метка отвечает. Согласно принципу резонанса, ток в цепи в этот момент минимален, а потери минимальны. Это достаточное условие для определения ее квалификации.

3) Коэффициент Q, комплексное соотношение индекса ослабления ответа, полосы пропускания и распределения резонансной частоты.

UID: идентификация пользователя каждой RFID-метки, интегрированная функция обнаружения UID T8200Pro-G наделяет его более гибкими и специфическими тестовыми преимуществами и может записывать радиочастотную производительность в соответствии с UID для формирования журнала.

Метод тестирования

· Тестирование в одиночку:

Тест можно легко выполнить, нажав кнопку срабатывания. Это подходит для анализа состояния и исследования производительности отдельных или небольшого количества образцов. Шаги следующие:

Шаг 1. Подключите инструмент к компьютеру проводами.

Шаг 2, добавьте и загрузите программу с CD, введите настройку с помощью сочетания клавиш

Шаг 3, выполните простые настройки в следующем порядке и нажмите Проверить, чтобы войти в состояние подготовки к обнаружению

Шаг 4, положите образец карты на испытательную антенну, нажмите старт и тест

результат появится

Руководство по эксплуатации: https://youtu.be/_D69T7GngUk

· Онлайн тестирование схемы:

Это означает, что инструмент встроен в автоматическую испытательную машину, и непрерывное тестирование осуществляется через внешнюю команду и коммуникационный сигнал инструмента T8200Pro-G. Подходит для 100% тестирования на производственной линии. Существует два способа онлайн-тестирования --- управление коммуникацией ПЛК и управление внешней программой, приоритет отдается управлению коммуникацией ПЛК, как показано ниже:

Шаг 1, выполните подключение проводов, как показано на рисунке

Сигнал коммуникации ПЛК, Pin1, 2, 4, 6, 12, 13, 14 должны быть подключены, другие могут быть выбраны в зависимости от потребностей.

Шаг 2, измените настройку триггера

Шаг 3, выберите правильную антенну и закрепите ее на испытательной платформе машины

Шаг 4, согласно методу одномашинного тестирования, установите ссылку и стандарт, и начните непрерывное тестирование.

Приложение тестовых данных

· Быть способным точно устанавливать ключевые показатели производительности и предоставлять инженерному персоналу параметры, которые лучше всего соответствуют потребностям дизайна, путем сравнения стандартных деталей и образца

· Быть способным различать разницу между продуктами из разных источников и находить квалифицированных поставщиков материалов в различных каналах закупок

· Быть способным обнаруживать тонкие различия между похожими картами, контролировать стабильность производственного процесса через онлайн-тестирование и реализовывать политику производства с превентивным подходом.

· Тестовые данные могут быстро реагировать на жалобы клиентов. T8200PRO-G имеет сертификацию квалификации, результаты высоконадежны и могут легко переноситься. Быстро анализировать с клиентами, увеличивать вязкость клиентов и получать больше бизнес-возможностей.

Области применения T8200PRO-G

· Коллекция RF

1) Смарт-карта

2) Метка RFID

3) Накладка и катушечная антенна

4) Считыватель

5) Другие

· Устройство NFC

1) Смарт-устройство

2) Управление расходными материалами

3) Наушники, аудио

4) Динамик

· Электромагнитные компоненты

1) Ультразвуковое встраивающее устройство

2) Индуктор

3) Ультразвуковой датчик

4) Катушка питания вибрации

Успешный случай

Появление T8200PRO-G предоставило многим клиентам важные данные, решило некоторые кажущиеся сложные проблемы и обеспечило благоприятную гарантию для развития проекта и производства продукции.

IOTE 2022 18-я Международная выставка интернета вещей открывается потрясающе
Первое посещение штаб-квартиры Shenyang PIOTEC в Новом году